

サンプルサイズは(サンプル数を複数あつめた)一つの全体の量と考えると良い サンプル数は標本の種類の数を表すので間違えないこと
サンプルサイズには適正量がある。少なすぎるとデータの誤差が多くなり統計学的な有意が得にくい。
多すぎる場合に本質的な有意がでない差まで検出してしまう。リソースの無駄づかい、被験者が多すぎると倫理的に不適切となる場合あり。
サンプルサイズ決定手順
1.目的の明確化 目的を明確に定義することが最初の作業
2.母集団の定義
3.精度と信頼性の設定 許容誤差と信頼水準を設定
4.統計手法の選択
5.サンプルサイズの計算 設定した要素に基づいて計算

群間比較研究(介入・暴露効果の判定)の場合と全体調査(出現率の把握)の場合ではサンプルサイズの決定方法は異なることがある
全体調査(アンケート調査)では出現率に基づいて必要なアンケート対象者数を推測する。
事前調査として本調査の前に出現率調査を行うことで効率的にサンプルサイズを回収できるとされる.
出現率とは抜き出した標本のなかに目的とする事情をもっている人(事)が含まれている割合
サンプルサイズは 検定力(効果量)を用いる方法と区間推定を用いる方法の2種類がある。
算出したサンプルサイズ以上のデータ取集を計画する.(+10%が目安)

効果量は実質的な差を表す指標。p値は差があるか無いかの確率は分かるが、実質的な差の大きさは分からない。
サンプルサイズに影響されない標準化された差を表す指標である効果量が便利ということで、よく使われる。
フリーソフトのG-Powerなどで計算している論文が多く見られる。
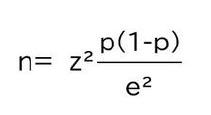
区間推定を用いる場合には標準誤差(母集団と標本の値の差のこと=標本分布のばらつきのこと)を用いる。
この場合の決定手手順
1.母集団の規模
2.標準誤差(許容誤差)
3..信頼度
4.回答比率
これらを設定し 計算式で算出
ただ母集団が1万人以上の場合、必要なサンプルサイズは1000人規模における設定と変らない。
許容誤差0.05 信頼レベル0.95 回答比率0.5とすると1万人以上の場合に必要なサンプル数は380人程度.
(1,000人なら279人、10,000人で370人、10万人で383人、100万人で384人、1000万人でも384人が必要サンプル数)
誤差の許容をどの程度認めるかでサンプルサイズが決まる.
信頼度=信頼係数はどのくらいの確率で許容誤差内に収まるかを表す指標.
信用度95%とは100個のデータのうち95個のデータが許容誤差内に収まる状態のこと.
回答比率は該当の回答を選ぶ割合の程度.(これが分からないので研究することになるが、先行研究を参考にすることもある)
どうしても分からない時は回答比率0.5 がマジックナンバーとなる.理由は.誤差が最大になり必要なサンプル数も最大になるから.

母集団の規模を加味しない場合は以下

>標準誤差は標本平均が母平均に対してどのくらいばらついているのかの程度を表す=指標といえる.
95%信頼区間は標本平均の前後に標準偏差の1.96倍の幅をとる平均値+-標準偏差の1.96倍の幅の中に95%の確立で真の値が入るか否かを
判定するのが いわゆる統計学的検定.
質的研究も量的研究も一般性のある結果を発見することが目的
量的研究では個別ので^他の偏りを一般性として間違えないように十分な標本数を確保する.
質的研究では個別のデータを深く掘り下げることにより一般性のある知見を発見しようという考えがある.対象者1名でも成立する
.Glove(2015)は質的研究であっても十分なデータが絵らっる対象者数が望ましいとしている.(がサンプルサイズの設定は重要視されない)
研究者の関心がある現象を経験している研究参加者が望ましい.抽出するサンプルの除外基準、適格基準を明確にすることが必要..
便宜的標本抽出法といわれる身近な人に依頼することが多い.









